Tác giả: Shaun Sabico, Ayah Al-Mashharawi, Nasser M Al-Daghri, Kaiser Wani, Osama E. Amer, S. Hussain người Đan Mạch, Mohammed Ghouse Ahmed Ansari, Mohammad S. Masoud, Majed S. Alokail, Philip G. McTernan
Năm: 2018
Tạp chí: Clinical Nutrition
Tóm tắt:
Mục tiêu: Mục đích của thử nghiệm này là mô tả tác dụng có lợi của men vi sinh trong việc giảm mức độ nội độc tố và các thông số chuyển hóa tim khác ở bệnh nhân Ả Rập mắc bệnh tiểu đường loại 2 (T2DM).
Phương pháp: Người lớn Ả Rập mắc T2DM chưa điều trị (n ¼ 30; 12 nam và 18 nữ), được phân bổ ngẫu nhiên vào hai nhóm dùng giả dược hai lần mỗi ngày hoặc 2,5×109 CFU/g Ecologic®Barrier (men vi sinh đa chủng; n ¼ 31; 14 nam và 17 nữ) theo phương pháp mù đôi trong thời gian 6 tháng. Các thông số nhân trắc học đã được đo và các mẫu máu lúc đói đã được thu thập để phân tích nội độc tố, các thông số đường huyết [glucose, insulin, c-peptide và đánh giá mô hình cân bằng nội môi cho tình trạng kháng insulin (HOMA-IR)], lipid [triglyceride, cholesterol toàn phần, lipoprotein tỷ trọng thấp và cao (LDL và HDL, tương ứng) cholesterol và tỷ lệ cholesterol toàn phần/HDL], các dấu hiệu viêm [yếu tố hoại tử khối u alpha (TNF-a), interleukin-6 (IL-6) và protein phản ứng C (CRP)] và adipocytokine [leptin, adiponectin và resistin] khi bắt đầu và sau 3 và 6 tháng can thiệp.
Kết quả : Bổ sung men vi sinh đa chủng trong 6 tháng làm giảm đáng kể nồng độ nội độc tố, tới gần 70% trong vòng 6 tháng, cũng như glucose (38%), insulin (38%), HOMA-IR (64%), triglyceride (48%), cholesterol toàn phần (19%), tỷ lệ cholesterol toàn phần/HDL (19%), TNF-α (67%), IL-6 (77%), CRP (53%), resistin (53%) và làm tăng đáng kể adiponectin (72%) so với ban đầu. Chỉ có HOMA-IR có sự giảm đáng kể về mặt lâm sàng (3,4, 64,2%) ở nhóm men vi sinh so với nhóm giả dược tại mọi thời điểm. Không có thay đổi đáng kể nào khác về mặt lâm sàng được quan sát thấy giữa nhóm men vi sinh hoặc nhóm giả dược sau 3 và 6 tháng ở các dấu hiệu khác.

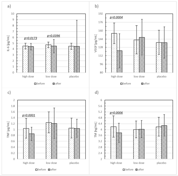
So sánh các thông số sinh hóa ở nhóm liều cao (HD), liều thấp (LD) và nhóm giả dược khi bắt đầu nghiên cứu và sau ba tháng bổ sung men vi sinh. Sự khác biệt đáng kể được thể hiện bằng giá trị p. Dữ liệu là giá trị trung bình cộng ± độ lệch chuẩn; (a) Il-6: interleukin-6; (b) VEGF: yếu tố tăng trưởng nội mô mạch máu; (c) TNF: yếu tố hoại tử khối u alpha; (d) TM: thrombomodulin
Kết luận: Bổ sung men vi sinh đa chủng trong vòng 6 tháng như một liệu pháp đơn trị đã làm giảm đáng kể HOMA-IR ở bệnh nhân T2DM. Điểm nổi bật ở nhóm điều trị men vi sinh là giảm tình trạng viêm giảm và cải thiện chuyển hóa tim mạch. Như vậy, men vi sinh đa chủng là một liệu pháp bổ trợ chống tiểu đường đầy hứa hẹn.
Liên kết đến bài viết: https://doi.org/10.1016/j.clnu.2018.08.009















Bạn hãy đăng ký nhận tin để nhận những thông tin bổ ích và chương trình khuyến mãi của chúng tôi
Ý kiến của bạn